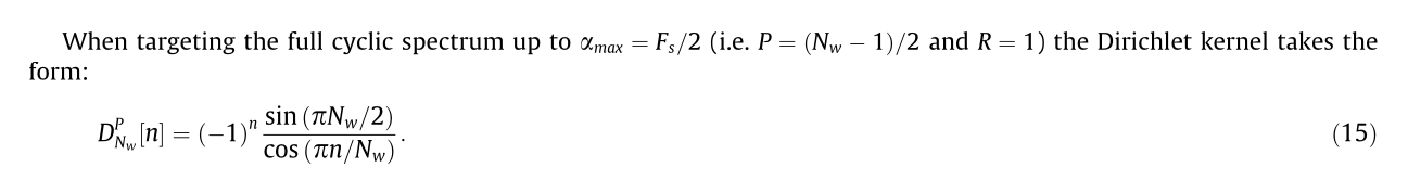
Skip to content
Cyclostationary Signal Processing
Understanding and Using the Statistics of Communication Signals
Menu
About
All Posts
My Papers
The Literature
Datasets
Downloads
Links
Tricorders
Vault
Help
Rants
CotM
SPTK
Previous Image
Next Image
antoni_2_max_CF_is_Fs_over_2
Leave a Comment, Ask a Question, or Point out an Error
Cancel reply
Post navigation
Published in
antoni_2_max_CF_is_Fs_over_2